Foreign Insulators
by Marilyn Albers
Reprinted from "INSULATORS - Crown Jewels of the Wire", May 1981, page 3
Insulators from Poland
I have been wanting to write about Polish
insulators for ever so long. Actually, I went to Poland in 1977 with a student
group; but since we were only in that country for about a week and my chaperone
duties had to claim first priority, I was only able to come home with a large
porcelain shackle insulator which I bought at an electrical shop. Other than
that I mostly looked up at the insulators on the poles and was very frustrated
because there did not seem to be any way to get my hands on them or obtain any
information in just those few short days. But there were miles and miles of
beautiful glass insulators everywhere. A bus ride through the countryside, non
stop, was torture! I left some money and my U.S. address with our guide, who
promised to find some and send them to me. But he never did; or at least if he
tried, they never reached me.
Then Brent Burger (Redmond, Washington) wrote to
me and said, "I have a bit of good news! I will be going to Poland with my
friend Marcus this September. Do you have any suggestions on how to obtain
insulators there and how to get them out of the country without smuggling them?
I don't want to pose any problem to his family who invited me, and with whom I
will be staying in Warsaw. We will also take a tour to Krakow and the Auschwitz
Concentration Camp. I will see what I can come up with on insulator
markings."
All I could do was tell him what didn't work, and wish him luck,
hoping, of course, that if he had success finding insulators, there would be
duplicates! He was to stay two weeks and had the advantage of knowing someone
local, so he stood a good chance.
When he returned, he wrote, "just got
back a few days ago and between Marcus and I we brought back about 50
insulators. Some are real weirdies! We have about 25-35 different styles and
markings. We took plenty of pictures over there of poles and related items. I
will get some to you when they are developed." These he did send, but they
are not included here because he asked me to return them. Between Brent and
Marcus they also had several boxes of insulators shipped home to be divided up
later. But in spite of their success, they were still in agony over some they
had to leave behind -- two power insulators still in use that were a dark
cornflower blue (sigh), a large "flappity-back" that stood 14"
high and too big to consider bringing home, and several other styles of
porcelain and glass insulators that were just impossible to reach without
getting arrested, and as he said, "easy as they were to pick, in Communist
Country they do bad things to thieves. I almost cried as I left those
behind." Incidentally, "flappity-back" is not a bird, but Brent's
nickname for a certain style of power insulator.
The good news was that he had
come up with a huge amount of information on the various markings found on these
insulators, particularly those used for phone and radio. The family he stayed
with had put him in touch with a lineman who, through an interpreter, was able
to help out here. Most of the information Brent passed on to me came by way of
letters. He had this so well lined up I will be able to quote parts of those
letters, but first a couple of pictures of the insulators he will be referring
to --
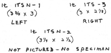
|

Notice the style of the glass insulators shown here. They are
used for long distance telephone and telephone distribution. The color is a
pretty light aqua, and the glass is crystal clear. Looking at them from left to
right, these two insulators are embossed as follows:

|
Brent says: "The
numbers 1, 2 or 3 indicate Size. 'IT' means IZOLATORY TELEFONICZNE or telephone
insulator. The 'S' stands for the material used. 'SZKTO' means glass in
Polish."
Now look at the next picture. These are porcelain, the same style
and a touch larger than their glass counterparts, but not much. They are also
used for long distance telephone and telephone distribution. Luckily I have all
three styles to show you.

As you look at the picture above (and again from left
to right) the following underglaze ink markings are to be found on these three
insulators:
 |
Here again the numbers 1, 2 and 3 indicate size, and 'IT'
stands for IZOLATORY TELEFONICZNE. The 'P' in this case is simply PORCELANA
(Polish for porcelain). Brent lined it up this way:

Another style of glass
insulator he found is like CD 179. It was used for power distribution. The
embossing on this one follows below.

"He says, " 'CENA' means 'price'
in Polish, and we were told by our lineman friend that these with the 'CENA
4.80' marking were brand spankin' new out of the box and that indeed was the
price! 4.80 means 4 ZLOTYCH and 80 GROSCHEN. (That was about 15 cents in 1977,
but I'm not sure what the equivalent would be in 1981 -- less if anything! M.A.)
"The '95' seems to indicate size again, or perhaps model number? The 'S' is for SCKTO, but what does
'N' mean? (My guess is something to do with
electricity or power. M.A.) We also have some smaller items in this same
style." The following picture shows this one to the far right, in a pale
green color. Though smaller than the NS-95 it is included under CD 179. The
embossing follows.
"These marked NS-80 were the very newest type of glass
power distribution insulators. The 95's I mentioned before had never seen use,
but were the older style. The 80's were now put up in their place. I'm not sure,
but they may no longer make the 95 and instead make the smaller 80??"
Following are pictures of some other styles of power insulators Brent found in
Poland. The porcelain "flappity back" is pictured below with its
incuse marking shown on the page following. It was used for high voltage power.
The following three are all power distribution types. The large spool or
shackle insulator at the left is the one I brought home from Poland -- the only
one! The one in the center came from Brent, and the insulator on the right is
from Don Fiene (Knoxville, Tennessee). The markings follow, looking from left to
right.
Brent sent some rough sketches of small porcelain eggs and knob
types used as radio insulators in Poland, as well as sketches of some larger
(5" -- 6" tall) glass insulators. I have asked him to bring these to the
National Show in Sacramento in July, so I can get a better look at them, take
pictures and check measurements. These I will try to include in a future
article.
All of the insulators from Poland are truly great finds, especially
since they come from a Communist Country -- not something you just run across
every day! Brent, you did us a real favor by sharing all this information with
us. Thanks!
|